
August
2019
HYDROCARBON
ENGINEERING
16
These are major contributions to the economy. Some
segments of the population balk at the projected costs of
cutting emissions if it endangers these profitable ventures.
Yet the costs of doing nothing are also high, and the true
costs may be hidden and hard to quantify. Scientists have
noted that Australia is especially vulnerable to climate
change. Fresh water supplies are limited, and many inland
areas are extremely dry. Drought, hot weather, and high
winds can lead to bushfires. The next rain cycle or storm can
quickly give way to localised flooding. This jeopardises
communities, wild and domesticated animals, agricultural
areas, and infrastructure. Already in 2019, two cyclones
(Trevor and Veronica) hit Northern and Western Australia in
quick succession, bringing heavy rains and destructive winds.
Higher sea surface temperatures feed higher rainfall and
stronger storms.
Australia’s coastal area and population
The majority of Australians have been concerned about
global climate change for years. A decade ago, in 2009, the
Australian government produced a report titled ‘Climate
Change Risks to Australia’s Coasts’. The vast majority of the
population lives along coastal areas and, as a trade-oriented
country, Australia’s coastal areas and ports are vital to the
energy industry and the overall economy. There are five
cities in Australia with populations of over 1 million: Sydney
(4.9 million), Melbourne (4.5 million), Brisbane (2.3 million),
Perth (2 million), and Adelaide (1.3 million). Each of these
cities is famous for coastlines and ports, and dependent
on them for livelihoods.
Sydney is home to Port Jackson and Botany Bay. Port
Jackson was the site of the first European settlement on
the Australian mainland. Botany Bay’s deep-water port
handles container ships and oil and gas. Sydney Harbour
also gave birth to an unusual unit of measure: the
Sydharb, defined as the amount of water in the harbour,
estimated to be approximately 562 gigalitres.
Melbourne is situated in the middle of the huge,
sheltering arms around Port Phillip Bay. The Port of
Melbourne is the busiest commercial port in the country.
The nearby Port of Geelong handles dry bulk and oil. The
Port of Hastings handles oil products, steel, and other
commodities.
Brisbane is on the eastern coast famous for some of
Australia’s finest beaches, all along the Sunshine Coast to the
north and the Gold Coast to the south. It is a focal point for
Australia’s tourism industry. Further north is the iconic Great
Barrier Reef, the world’s largest coral reef system.
Perth is the site of Fremantle Harbour, the largest cargo
port in Western Australia. Western Australia’s only refinery is
BP’s gasoline-oriented Kwinana facility, around 32 km down
the coast from Perth.
Port Adelaide was one of the earliest European
settlements in South Australia, built along the Port Adelaide
River. The port was built to support the settlement, and it
now handles a wide array of products including minerals, ores
and metals, oil products, motor vehicles, foods, and fertilizers.
Australia LNG projects and exports
Natural gas use is around half as carbon intensive as coal.
Around the world, countries concerned with reducing
carbon emissions have increased the use of natural gas and
pared down the use of coal and oil when possible.
Liquefying natural gas made it possible to develop and
transport remote resources. Over the past decade, Australia
has emerged as a global leader in LNG, poised this year to
capture the crown from Qatar as the largest exporter in the
world. Although oil prices were relatively low in the past
few years, Australia has continued with the expansion of
LNG infrastructure. Moreover, Australia has worked to build
regasification facilities in its more populous states so that
quantities of LNG are used domestically.
Recent developments include Chevron’s Wheatstone
and Gorgon projects, Woodside’s Pluto project, INPEX’s
Ichthys project, and Shell’s Prelude floating LNG (FLNG)
project. Australia also completed projects using coalbed
methane as feedstock. The Queensland Curtis LNG project
was the world’s first LNG project of this type. In 2018,
Australia was the world’s second largest exporter of LNG,
following Qatar. BP reported that Australian LNG exports
totalled 91.8 billion m
3
in 2018 vs 104.8 billion m
3
from Qatar.
However, by late 2018, Australian LNG loadings were
exceeding Qatari loadings, and Australia is forecast to take
the number one spot in 2019 as Shell’s Prelude project
comes fully online. Shell announced in late December 2018
that initial production had commenced, and that the
project was ramping up.
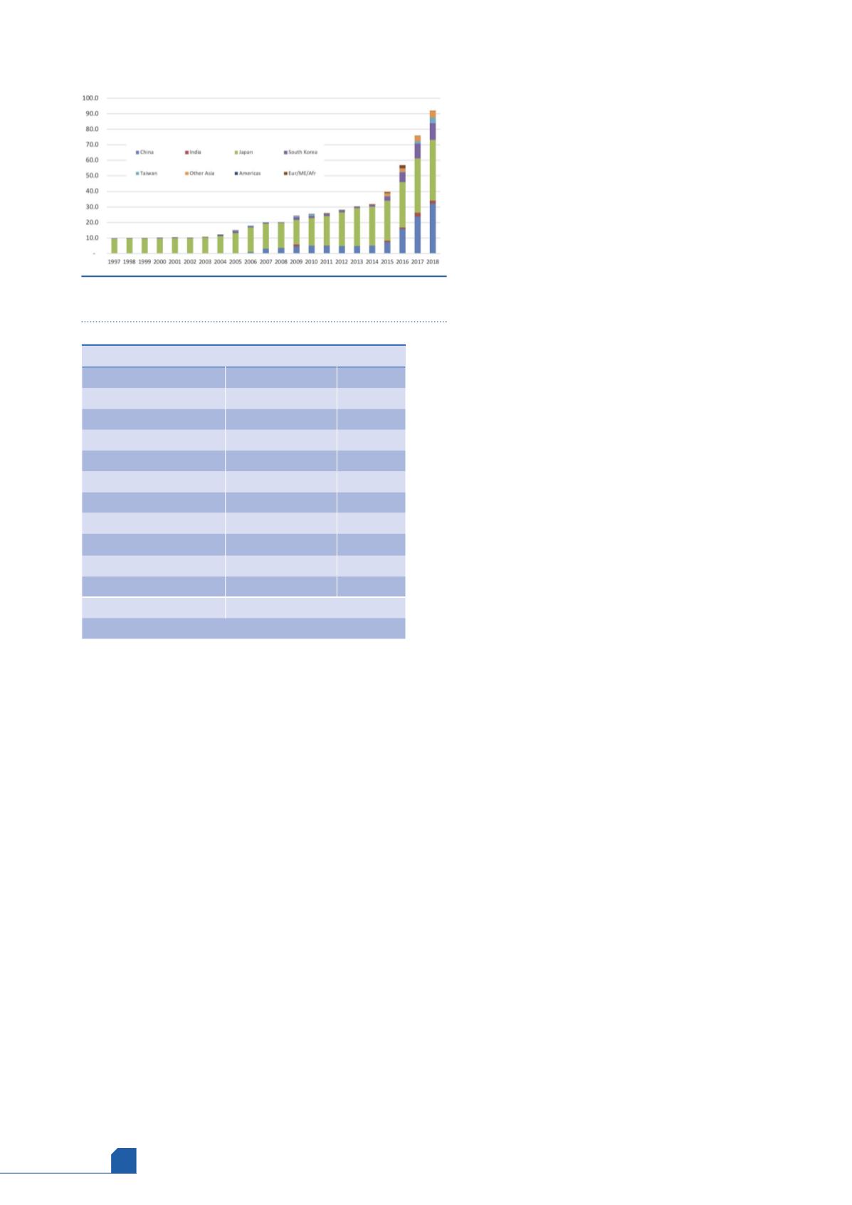
Figure 3.
Australian LNG exports by destination (billion m
3
).
Source: BP.
Table 1.
Australia LNG projects
Name
Capacity (million t) Start date
North West Shelf Venture 16.3
1989
Darwin LNG
3.7
2006
Pluto
4.3
2012
Queensland Curtis
8.5
2014
Gladstone LNG
7.8
2015
Australia Pacific LNG
9
2015
Gorgon
15.6
2016
Wheatstone
8.9
2017
Ichthys
8.9
2018
Prelude
3.6
2019
Total
86.6
Source: Department of Industry, Innovation and Science